作者:链析加密实验室
一、事件背景:预言机配置埋下隐患
攻击缘由始于一项治理提案(MIP-X43),该提案在Base和Optimism网络上的Moonwell市场启用新的Chainlink预言机配置。(注:预言机是一种数据在被提交到区块链前的一种获取实时数据的工具)
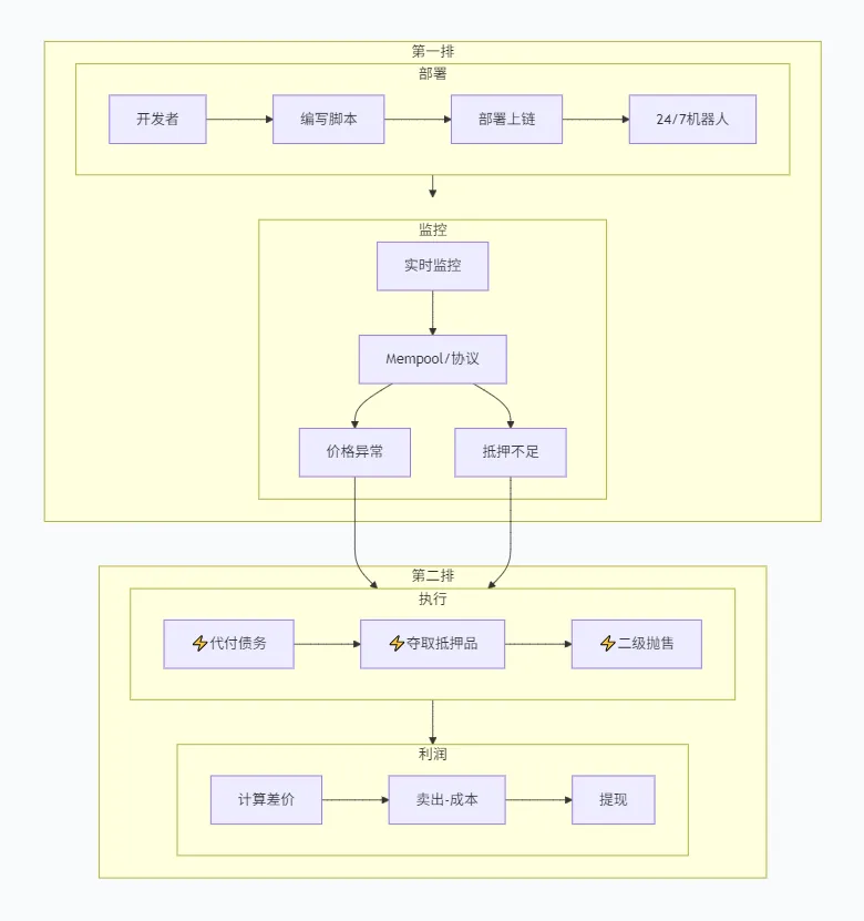
在Moonwell这类的借贷协议中,用户存入如cbETH等资产作为抵押物,就可以借出其他代币。若市场下跌,抵押物价值下降,抵押物价值<债务时,机器人将自动清算头寸(用户可用户资金总和),偿还债务并以折扣价扣押抵押品。
事件发生前,Moonwell的cbETH市场资金大、抵押多,但预言机测试不充分,少算了一步乘法,导致价格严重错误,风险被急剧放大。
二、事件分析:AI写错一段代码
此次事件是业内首起由Vibe Coding(AI辅助编码)引发的链上安全事故,其核心是一个低级却致命的预言机配置漏洞。
1.漏洞原因
此次事故的根源在于预言机对cbETH资产的错误定价。cbETH是一种流动性强的质押代币,其价值包含了累积的质押奖励。正常情况下,1个cbETH大约可以兑换1.12个ETH。
因此,正确的美元价格计算逻辑应为:
cbETH的美元价格=(cbETH与ETH的兑换比例)×(ETH的美元价格)
举例来说:假设1cbETH≈1.12ETH,且1ETH≈2200美元,那么1cbETH的真实价值应为2464美元。
然而,在AI工具Claude生成的代码中,由于缺乏完善的逻辑校验,误将cbETH的价格源直接指向了cbETHETH_ORACLE。该数据源仅能提供cbETH与ETH的“兑换汇率”(即1.12),却无法获取ETH的美元价格。
这个遗漏了关键乘法步骤的错误,导致程序直接将“汇率”视为了“美元价值”。原本价值2400多美元的资产,在系统中被错误地标记为1.12美元,严重低估了99.9%以上,价格相差近2000倍。
2.攻击 还 原
系统对资产的严重低估,直接导致大量正常用户的抵押仓位被系统误判为“资不抵债”。整个漏洞利用过程极为高效,呈现出明显的自动化特征:
2026年2月16日凌晨2:01UTC+8:MIP-X43提案执行完成,Base链上配置错误的cbETH预言机被激活。
链上清算机器人监控获利机会,机器人通过闪电贷快速借入少量USDC,以极低的成本替借款人偿还了债务(因为系统认为1 cbETH只值1块多美元),从而获得清算权。
在扣押了真实价值极高的cbETH抵押品后,机器人立即在DEX按市场价抛售获利。多台机器人在短短几分钟内疯狂循环操作,总计扣押了1,096.317枚cbETH。
这场攻击没有预谋已久的黑客,只有清算机器人执行荒谬的代码。既然没有传统意义上的“小偷”,那这凭空蒸发的178万美元巨款,到底落进了谁的口袋?这就不得不看接下来的资金流向了。
三、资金流向:没有黑客,只有套利者
既然没有传统意义上的黑客,这凭空蒸发的178万美元巨款,到底落入了谁的口袋?
钱去哪儿了?
答案是:部署清算机器人的幕后套利者。
清算机器人并非凭空产生,它们是由真实的程序员或量化团队(即MEV搜索者)编写并部署在链上的自动化脚本。当系统因AI漏算一个乘号,将2400美元的资产按1块多美元的废铁价“合法贱卖”时,这些像狩猎者一样巡逻的机器人瞬间捕捉到了机会。
它们自动替用户还清了1块多美元的账面债务,抢走高价值抵押品并转手按真实市场价抛售。最终,这近178万美元的巨额差价,全部流入了机器人所有者的个人加密钱包。他们利用系统漏洞,合规且合法地完成了这场百万美元的提款。
在此次事件中,系统共计11种资产遭受损失,具体损失的金额如下:
事发后,Moonwell团队迅速暂停借贷与清算功能,并火速提交了新的修正提案,重新配置了预言机参数。为了挽回信任,协议不得不动用金库资金,自掏腰包填补这178万美元的坏账窟窿,对无辜被清算的用户进行全额赔偿。
四、AI当家作主:提升效率还是安全隐患?
事件发酵后,舆论大部分都是“Claude写了致命漏洞”,但客观来看,把这178万美元得锅扣在AI头上,多少有点冤枉他了。
这漏洞根本不是什么高深得漏洞,就是一个超级简单的配置错误——少乘了一个汇率。
说句实在话,这种低级错误,就算换成人类程序员,那也有可能出现这种错误。
真正致命得是整个项目把关流程形同虚设。项目上线前,没有人手动去检查“价格合不合理”的代码。如果你给出正确的指令,AI 完全能帮你把这些用来防错的测试用例写得明明白白。
所以这次出事最大的教训,根本不是“AI不能写代码”,而是人为了图快,把最关键的审核环节给丢了。
不管AI有多好用、多块,他对真金白银始终没有概念,也不能够担责。AI永远替代不了人类,它说到底就是个超级好用的工具,只能是人用AI,绝对不能变成AI说了算、人跟着走。
五、写在最后:当AI写代码时,人类更应该保持警惕
Moonwell这起事件,本质上并不复杂,没有顶级黑客、没有高深漏洞、甚至没有复杂攻击。只是AI写错了一段代码,而人类也没有多看一眼。
但在区块链的世界,一段代码的疏忽,可能就是几百万美元的真金白银。在DeFi世界里,代码就是规则,当规则写进了链上,就会被机器毫不犹豫地执行。当越来越多项目开始依赖“Vibe Coding”,代码审计与风险控制反而更应该成为最后一道防线。
技术可以越来越自动化,但安全绝不能自动化。
